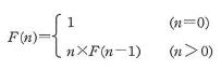
n!の値を、次の関数F(n)によって計算する。乗算の回数を表す式はどれか。
ア n-1
イ n
ウ ![]()
エ n!
再帰の問題である。
実際に数字を入れてみよう。
n=5だとして
F(5)=5F(4)
F(4)=4F(3)
F(3)=3F(2)
F(2)=2F(1)
F(1)=1F(0)
n=0のとき、F(n)は1だから、
F(1)=1×1
F(2)=2×1×1
F(3)=3×2×1×1
F(4)=4×3×2×1×1
F(5)=5×4×3×2×1×1
「×」の数を数えよう。
F(5)の掛け算の数は5回。ゆえにnであるイが正解。
